ROUTINE DETERMINATION OF HIGHLY FLEXIBLE MOLECULAR CRYSTAL STRUCTURES FROM POWDER DIFFRACTION DATA
K. Shankland and W.I.F. David
ISIS Facility, CLRC Rutherford Appleton Laboratory, Chilton, Didcot, Oxon. OX11 0QX, U.K.
Keywords: structure determination, powder diffraction, molecular crystals
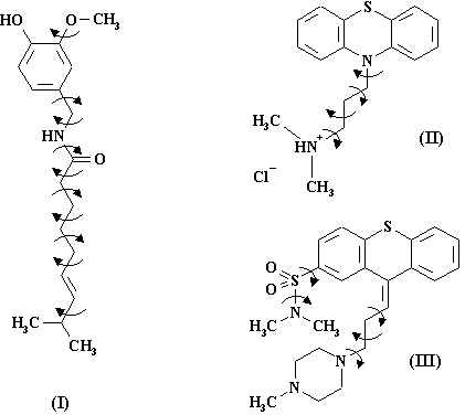
The state of the art in determining molecular crystal structures from powder diffraction data using a global optimisation method is illustrated with a fast, automated simulated annealing approach to solving three previously unknown molecular crystal structures 1.

This work builds upon on our previous work with a genetic algorithm based search method 2 and has two distinctive elements. Firstly, the level of agreement between the trial structure and the experimental diffraction data is quantified by:
c2 = ShSk [(Ih - c|Fh|2) (V-1)hk (Ik - c|Fk|2)]
where Ih and Ik are Lorentz-polarisation corrected, extracted integrated intensities from a Pawley refinement of the diffraction pattern, Vhk is the covariance matrix from the Pawley refinement, c is a scale factor, and |Fh| and |Fk| are the structure factor magnitudes calculated from the trial structure. This is effectively equivalent to, but calculated typically two orders of magnitude faster than, agreement factors used by others 3,4. Secondly, the simulated annealing protocol contains a novel combination of elements that facilitate global searching of the complex multi-dimensional parameter space. These include a temperature reduction that cools more slowly if the c2 fluctuations are large, the capacity to generate random mutations and an algorithm to generate new parameter sets that samples the neighbouring parameter space efficiently whilst allowing large perturbations with an exponentially decreasing probability.